중등 수학 공식과 꼭 알아야 할 개념에 대해서 중학교 3학년 과정을 총정리해 봅니다. 1학기에는 제곱근, 제곱근의 계산, 분모의 유리와, 제곱근의 덧셈과 뺄셈, 단항식과 다항식의 계산, 곱셈공식, 곰셈공식의 활용, 인수분해 공식, 복잡한 식의 인수분해, 이차방정식, 이차함수가 있고, 2학기에는 원과 현, 원과 접선, 원주각, 원에 내접한 사각형, 접선과 현이 이루는 각이 있습니다.
중3 수학 - 1학기 개념 정리
제곱근
제곱근 : 어떤 수 x를 제곱해서 a가 될 때 x를 a의 제곱근이라고 한다.
제곱근의 개수 :
a > 0 → 제곱근이 2개
a < 0 → 제곱근이 없다
a = 0 → 제곱근이 1개
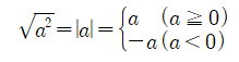
제곱근의 성질 : a > 0 일 때


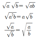
제곱근의 계산

분모의 유리화

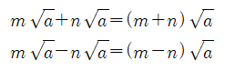
제곱근의 덧셈과 뺄셈

단항식과 다항식의 계산
덧셈뺄셈 : 동류항끼리 계산
곱셈나눗셈 : 숫자는 숫자끼리 문자는 문자끼리 계산하고, 같은 문자의 곱은 거듭제곱을 사용하여 나타낸다.
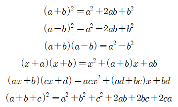
곱셈공식

곱셈공식 활용

인수분해 공식

복잡한 식의 인수분해
- 공통부분이 있으면 공통인수로 묶는다.
- 같은 다항식이 있으면 한 문자로 치환한다.
- 문자가 여러 개 있을 때에는 한 문자에 대해 내림차순으로 정리한다.
이차방정식
인수분해가 되면 인수분해하여 해를 구한다.
인수분해가 되지 않으면 완전제곱식이나 근의 공식을 이용한다.

근의 개수

근과 계수의 관계(두 근을 알파 베타라고 할 때)

이차함수

꼭짓점 : (0, 0)
축 : x=0
a>0 : 아래로 볼록
a<0 : 위로 볼록
a의 절댓값이 클수록 폭이 좁다
y=-ax^2의 그래프와 x축에 대칭

y=ax^2의 그래프를 y축의 방향으로 q만큼 평행이동
꼭짓점 : (0, q)
축 : x=0

y=ax^2의 그래프를 x축의 방향으로 p만큼 평행이동
꼭짓점 : (p, 0)
축 : x=p

y=ax^2의 그래프를 x축의 방향으로 p만큼, y축의 방향으로 q만큼 평행이동
꼭짓점 : (p, q)
축 : x=p
이차함수 일반형(y=ax^2 + bx + c)에서 a, b, c의 부호 알기
이차함수 일반형을 표준형으로 변형하기

이차함수 표준형에서 최댓값 최솟값 알기

a>0 : x=p 일 때 최솟값 q
a<0 : x=p 일 때 최댓값 q
이차방정식의 근과 이차함수의 그래프
서로 다른 두 실근 → x축과 두 점에서 만난다
한 개의 중근 → x축과 한 점에서 만난다
근이 없다. → x축과 만나지 않는다.
이차함수 식 구하기
| 꼭지점 (p, q)가 주어질 때 | y=a(x-p)^2 + q에 대입 |
| x축과의 교점 (m,0), (n,0)이 주어질 때 | y=a(x-m)(x-n)에 대입 |
| 그래프 위의 3 점이 주어질 때 | y=ax^2 + bx + c에 대입 |
중3 수학 - 2학기 개념 정리
원과 현
원의 중심에서 현에 대한 수선은 현을 이등분한다.
현의 수직이등분선은 원의 중심을 지난다.
한 원 또는 합동인 두 원에서 중심에서 같은 거리에 있는 현의 길이는 같다.
원과 접선
원의 접선은 그 접점을 지나는 반지름에 수직이다.
원의 외부의 한 점에서 그은 2개의 접선의 길이는 같다.
원주각
원주각은 중심각의 절반이다.
한 원에서 같은 길이의 호에 대한 원주각의 크기는 같다.
반 원의 원주각 = 90 º
원에 내접한 사각형
대각의 크기의 합 = 180 º
한 외각의 크기는 그 내대각의 크기와 같다.
접선과 현이 이루는 각
원의 접선과 현이 이루는 각은 그 현에 대한 호의 원주각과 같다.
[ 같이 보면 좋은 글 ]

'교육정보' 카테고리의 다른 글
| 중학교 1학년 소인수분해 개념정리 (0) | 2025.12.23 |
|---|---|
| 공통수학2 – 1단원 도형의 방정식 핵심 개념정리 (0) | 2025.12.07 |
| 중등 수학 공식 및 개념 총정리 - 2학년 (0) | 2025.11.05 |
| 중등 수학 공식 및 개념 총정리 - 중학교 1학년 1학기 (0) | 2025.11.04 |
| 사다리꼴 넓이 구하는 공식 및 도형의 넓이 공식 총정리 (0) | 2025.11.03 |