중등 수학 공식과 꼭 알아야 하는 개념을 총정리합니다. 중학교 2학년 과정
중2 수학 - 1학기
소수

유한소수 판별법 : 기약분수의 분모 소인수가 2와 5 뿐이면 유한소수
순환소수를 분수로 바꾸기




유리수

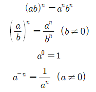
지수법칙


연립방정식
연립방정식의 풀이 : 가감법, 대입법
A=B=C의 형태의 연립방정식은 아래의 형태로 변형하여 푼다

일차부등식
부등식 : 부등호가 있는 식
부등식의 성질
- 양변에 같은 수를 더해도 부등호는 성립한다.
- 양변에 같은 수를 빼도 부등호는 성립한다.
- 양변에 양수를 곱하거나 나누어도 부등호는 성립한다.
- 양변에 음수를 곱하거나 나누면 부등호의 방향이 바뀐다.
일차부등식의 풀이
계수가 분수이면 분모의 최소공배수를 양변에 곱해서 계수를 정수로 만들어 푼다.
계수가 소수이면 10, 100, 1000, ... 등을 곱하여 계수를 정수로 만들어 푼다.
괄호가 있으면 괄호를 먼저 푼다.
문자항은 좌변, 상수항은 우변으로 이항하여 부등식을 푼다.
양변을 간단히 정리하여 ax>b, ax≥b, ax<b, ax≤b의 꼴로 만든다.
양변을 x의 계수로 나누고, 만약 계수가 음수이면 부등호의 방향을 반대로 바꾼다.
중2수학 - 2학기
삼각형의 오심
작도방법
| 삼각형의 오심 | 작도 방법 |
| 삼각형의 외심 | 세 변의 수직이등분선의 교점 |
| 삼각형의 내심 | 세 내각의 이등분선의 교점 |
| 삼각형의 무게중심 | 세 중선의 교점 |
| 삼각형의 방심 | 한 내각과 나머지 두 각의 외각의 이등분선의 교점 |
| 삼각형의 수심 | 각 꼭지점에서 내린 수선의 교점 |
성질
| 오심 | 성 질 |
| 외심 | 세 꼭지점에 이르는 거리가 같다 |
| 내심 | 세 변에 이르는 거리가 같다 |
| 무게중심 | 꼭지점으로부터 2:1로 내분한다 |
| 방심 | 한 삼각형에 3개의 방심이 존재한다 |
| 수심 | × |
이등변 삼각형의 정의 및 성질
이등변 삼각형의 정의 : 두 변의 길이가 같은 삼각형
이등변 삼각형의 성질 : 두 밑각의 크기가 같고, 꼭지각의 이등분선은 밑변을 수직이등분한다.
평행사변형
정의 : 두 쌍의 대변이 평행한 사각형
성질 :
- 두 쌍의 대변의 길이는 각각 같다.
- 두 쌍의 대각의 크기가 각각 같다.
- 두 대각선은 서로 다른 대각선을 이등분한다.
평행사변형이 되기 위한 조건 :
- 두 쌍의 대변이 평행하다.
- 두 쌍의 대변의 길이가 같다.
- 두 쌍의 대각의 크기가 같다.
- 두 대각선은 서로 다른 것을 이등분한다.
- 한 쌍의 대변의 평행하고 그 길이가 같다.
여러 가지 사각형
사각형 : 변이 4개인 도형
사다리꼴 : 한 쌍의 대변이 평행한 사각형
평행사변형 ; 두 쌍의 대변이 평행한 사각형
직사각형 : 네 각의 크기가 같은 사각형
마름모 : 네 변의 길이가 같은 사각형
정사각형 : 네 각의 크기가 같고, 네 변의 길이가 같은 사각형
닮음
닮음비 : 두 닮은 도형에서 대응변의 길이의 비
평면도형에서의 닮음
- 대응변의 길이의 비가 일정하다.
- 대응각의 크기가 같다.
입체도형에서의 닮음
- 대응면이 닮은 도형이다.
- 대응하는 선분의 길이의 비가 일정하다.
삼각형의 닮음 조건
SSS닮음 : 세 변의 길이의 비가 일정하다
SAS닮음 : 두 변의 길이의 비가 일정하고, 끼인각의 크기가 같다
AA닮음 : 두 각의 크기가 같다
삼각형과 비



평행선과 선분의 비


삼각형의 중점 연결의 정리
선분 BC와 선분 DE가 평행이고, 점D, 점E가 각각 선분AB, 선분 AC의 중점이면


사다리꼴의 중점 연결 정리
삼각형의 무게 중심
[ 함께 보면 좋은 글 ]

'중등' 카테고리의 다른 글
| 중등 수학 공식 및 꼭알 개념 총정리 - 3학년 (2) | 2025.11.06 |
|---|---|
| 중등 수학 공식 및 꼭알 개념 총정리 - 1학년 (0) | 2025.11.04 |
| 중학교 수학 목차 학년별로 총정리(2022개정 교육과정) (0) | 2025.11.01 |